8. 正準相関分析例題
10社についてその知名度・販売力・研究力・応用力について10点満点で評価をし、下のような表を得たとする。
|
標本NO |
知名度 X1 |
販売力 X2 |
研究力 X3 |
応用力 X4 |
|
1 2 3 4 5 6 7 8 9 10 |
2 5 7 9 8 4 2 6 3 6 |
3 4 6 8 5 3 3 5 4 7 |
4 6 8 8 7 2 3 7 5 8 |
3 3 5 9 6 5 4 7 4 6 |
いま上記のように4変量ある時、知名度(X1)と販売力(X2)を合成した営業力と、研究力(X3)と応用力(X4)を合成した技術力とがどの様な関係にあるか正準相関係数を求めて調べてみる。
知名度(X1)と販売力(X2)の正準変量をZ、研究力(X3)と応用力(X4)の正準変量をWとする。それぞれの正準変量をZ=l1・X1+l2・X2 W=m1・X3+m2・X4 とする。
8.1 重み係数を求める。
相関係数行列を求める。

|
|
X1 |
X2 |
X3 |
X4 |
|
X1 |
1.000 |
0.842 |
0.815 |
0.792 |
|
X2 |
0.842 |
1.000 |
0.882 |
0.792 |
|
X3 |
0.815 |
0.882 |
1.000 |
0.577 |
|
X4 |
0.792 |
0.792 |
0.577 |
1.000 |

R11-1・R12・R22-1・R21 を求めると


また l’・R11・l = 1 であるから
以上から
l12+1.684・l1・l2+l22=1
0.34081・l1+0.34086・l2=0.936・l1
0.56840・l1+0.61104・l2=0.936・l2
これより l1= ±0.378 l2= 1.746×(±0.378)=±0.660
ZとWは正の相関がありそうなので、正の値を採用して

第2正準相関係数についても、λ2=0.124(固有値:0.0154)を使用して同様にして求める。

|
|
第1成分 |
第2成分 |
|
固有値 |
0.936 |
0.0154 |
|
相関係数 |
0.967 |
0.124 |
|
重み係数 |
X1 X2 X3 X4 0.378 0.660
0.6445 0.478 |
X1 X2 X3
X4 1.817 −1.734 −1.04
1.13 |
8.2 正準変量を求める。
実際に求めた第1正準変量の重み係数を用いて正準変量のZ1とW1 求める。
標準化した値を使用して、第1正準変量のZ1とW1を求めると上の表のようになる。
このZ1とW1の相関係数を求めると RZW =0.9679 となり第1正準相関係数に一致。
次に、第2正準変量の重み係数を用いて正準変量のZ2とW2 求める。
第2正準変量のZ2とW2を求めその相関係数を求めると0.124となり同様に第2正準相関係数に一致している。
それぞれの正準変量間の相関係数を求めると、Z1とZ2 Z1とW2 W1とZ2 W1とW2のいずれにおいてもその相関係数は0となっている。
8.3 構造係数を求める。
構造係数は、各変量と正準変量間の相関係数であるから、標準化した各変量と正準変量と の相関係数を求める。
標準化した変量X1 と第1正準変量Z1の相関係数をRX1−Z1 とすると
RX1−Z1 = 0.9343
同様に求めていくと
RX2−Z1= 0.9791
RX3−W1= 0.204
RX4−W1= 0.8501
標準化した変量X1 と第2正準変量Z2の相関係数をRX1−Z2 とすると
RX1−Z2 = 0.3564
同様に求めていくと
RX2−Z2=
−0.2033 RX3−W2=−0.3910 RX4−W2= 0.5266
8.4 正準相関係数の検定を行う。
(1)母集団における第1正準相関係数の検定を行う
母集団における第1正準相関係数をρ1 とする。
(1)仮説をたてる
帰無仮説:H0 ρ1=0
対立仮説:H1 ρ1≠0
(2)検定統計量χ2 を求める
固有値: λ1=0.9679 λ2 =0.1243 標本数(m):10 変量数(p):2


χ2=18.053 >
χ24(0.05)=9.49
棄却域にはいる。帰無仮説を棄却する。よって対立仮説(H1):ρ1≠0を採択する。
母集団における第1正準相関係数は0ではないといえる。
(2)母集団における第2正準相関係数の検定を行う
母集団における第2正準相関係数をρ2 とする。
(1)仮説をたてる
帰無仮説:H0 ρ2=0
対立仮説:H1 ρ2≠0
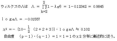
(2)検定統計量χ2 を求める
固有値: λ1=0.9679 λ2 =0.1243 標本数(m):10 変量数(p):2


χ2=0.102 <
χ21(0.05)=3.84
棄却域に入らない。よってρ2=0という帰無仮説を棄却できない。
以上から、採用する正準相関係数は第1正準相関係数までとする。
第1正準相関係数=0.9679であり、今回実施した会社の営業力(知名度と販売力の合成した変量)と技術力(研究力と応用力の合成した変量)の相関は非常に高いと考えられる。